Внутренняя структура протона

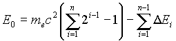
В работах [2 –5] предприняты шаги в направлении создания теории внутренней структуры элементарных частиц. Получено соотношение, отражающее закон формирования структуры элементарной частицы:

(1)

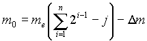
где: n= 2,3, .; me - масса электрона и позитрона; j=1 для нейтральных частиц; j=0 для частиц, имеющих заряд.

Из формулы видно, что закон структурогенеза вещества имеет бинарный характер. Бинарность сохраняется на каждом шаге структуризации вещества. Бинарность в законах структурогенеза отражает то, что в формировании вещественных образований участвуют зарядово-сопряженные частицы. Формула отражает динамику структурогенеза, по которой происходит формирование структуры вещественных образований.

Соотношения для энергий описываются следующими математическими формулами [2 – 5]:

(2)

(3)

Формула (2) применима для определения энергии нейтральных частиц, формула (3) применима для определения энергии заряженых частиц. Каждая из формул (2) и (3) отображает определенный дискретный ряд энергетических уровней , которым соответствует последовательность вещественных образований в динамике структурогенеза. Формулы (2) и (3) показывают, что энергия, участвующая в образовании вещества, разделяется на две составляющие. Первая составляющая представляет собой суммарную энергию покоя вещественных образований, участвующих в формировании новой частицы. Так, для нейтральных вещественных образований, она имеет вид:

(4)

Вторая составляющая представлена слагаемыми, которые задают величину энергии связи:

(5)

Соотношения (2) и (3) отражают дискретный характер внутренней энергии элементарных частиц.

В [5] показано, что внутренняя структура протона представляет собой фрактальную конструкцию.

Фрактал, выявленный в струтуре элементарных частиц, отражает детерминированный процесс структурогенеза. Для фрактала протона характерно чередование симметричных и асимметричных ветвей древовидной структуры.Открытие конкретного вида фрактала, отражающего закономерность структурогенеза протона, позволяет получить количественные характеристики элементарных частиц расчетным путем. В [5] получены количественные характеристики фрактальных структур элементарных частиц и найдено математическое описание фрактала протона. Математическое соотношение для элементарной ячейки фрактала протона имеет вид:

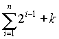
На основе формулы для элементарной ячейки фрактала получено обобщенное математическое соотношение, описывающее завершенные фрактальные конструкции внутренней структуры элементарных частиц. Это математическое соотношение имеет вид:

,

где: k = 0 для ядер, k =1 для атомов, k = –1 для нейтральных частиц.

Из приведенного выше соотношения, при n =11, получаем формулу, описывающую фрактал протона:

Перейти на страницу: 1 2

Дополнительно

Эволюция и самоорганизация химических систем. Макромолекулы и зарождение органической жизни
Понятие самоорганизация означает упорядоченность существования материальных динамических, то есть качественно изменяющихся систем. Оно отражает особенности существования таких систем, которые сопровождаются их восхождением на все более высокие уровни сложности и системной упорядоченности или матер ...

Проектирование технологии ремонта гидроцилиндров с использованием полимерных материалов
Одно из направлений повышения эффективности производства - его переоснащение современной техникой, внедрение передовых технологических процессов и достижений современной науки. В лесной промышленности и лесном хозяйстве таким направлением наряду с увеличением единичной мощности выпускаемой те ...

Меню сайта