Энергия вакуума и энергия протона

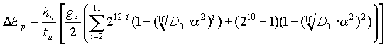
[5,8,10]. В формулы массы протона входит слагаемое, которое представляет собой энергию связи. Эта энергия задает степень устойчивости частицы. У нас появилась возможность вычислить ее значение. Формула для определения энергии связи протона имеет вид [5]:

(8)

Значение энергии связи, вычисленное по этой формуле, равно 107,74 Мэв (≈108 Мэв) и составляет около 11,5% от энергии покоя протона. Таким образом, определена важнейшая характеристика протона, знание которой является ключевым моментом для реализации нового способа получения энергии. Если протону сообщить дополнительную энергию, такую, чтобы она превышала энергию связи (≈108 MeV), то он становится неустойчивым и распадается на легкие частицы, имеющие очень малое время жизни. Такое возможно при определенном уровне энергонасыщения вакуума в локальной зоне пространства, где находится протон. На этом основан новый способ получения энергии.

Основной этап энергопреобразований в новом способе получения энергии можно представить так:

p+ + 108 MeV → 938 MeV

Здесь вместо реакции синтеза вещества реализуется энергонасыщение протона, что приводит к его деструктуризации. На рис.1 показана полная схема энергопреобразований в новом способе получения энергии.

Расход электролита ≈ 1 грамм на 2500 кВт∙час.

Выделение О2 ≈ 0,7 литра на 2500 кВт∙час.

Рис.1. Схема энергопреобразований в новом способе получения энергии.

Расчеты показывают, что энергия связи равная 107,74 Мэв, представляет собой набор дискретных уровней энергии и содержит 10 составляющих:

107,74 Мэв =54,9+20,35+13,35+8,23+4,84+2,84+1,62+0,87+0,48+0,26 (Мэв) .

Соответственно, энергетическое воздействие на протон должно осуществляться квантами энергии и должно соответствовать приведенной выше 10-ти шаговой сетке энергетических уровней. Поскольку все элементарные частицы, на которые распадается протон, являются неустойчивыми, то такая схема не приводит к появлению остаточного вещества на конечной стадии энергопреобразований [12, 13]. Это делает способ экологически чистым. Другим достоинством нового способа является беспрецедентно высокий энергетический выход. Как видно из формул для массы протона и из соотношения (8), удельная энергия более чем в 1000 раз превышает возможности атомной энергетики и в десятки раз превышает возможности термоядерного синтеза, оставаясь при этом экологически чистым способом. В этом способе осуществляется воздействие на ядра атомов водорода. Воздействие осуществляется в локальной зоне пространства при энергонасыщении вакуума в среде электропроводной жидкости. Способ позволяет получать тепловую и электрическую энергию. Расчеты показывают, что энергетический выигрыш составляет величину: К=4,8 – 8,6 .

Расходным материалом является электролит. Расход электролита составляет ≈ 1 грамм на 2500 кВт∙час энергии. При использовании электролита на водной основе будет образовываться остаточное вещество – кислород. Для генератора мощностью 100 кВт выделение О2 составляет очень незначительное количество ≈ 0,25 м3 в год .

Изложенный выше подход может найти применение для утилизации различных отходов производства в промышленности и энергетике. Воздействие на вещество с целью его деструктуризации может стать универсальным и эффективным инструментом обеспечения экологической безопасности производства и превращения отходов производства в тепловую энергию. Это принципиально меняет взгляд на существующие виды и классы энергоносителей и позволит рассматривать даже опасные отходы как потенциальные энергоносители.

Перейти на страницу: 1 2 

Дополнительно

Проектирование технологии ремонта гидроцилиндров с использованием полимерных материалов
Одно из направлений повышения эффективности производства - его переоснащение современной техникой, внедрение передовых технологических процессов и достижений современной науки. В лесной промышленности и лесном хозяйстве таким направлением наряду с увеличением единичной мощности выпускаемой те ...

Развитие атомной энергетики в Украине
Наше время называю атомным не только и не столько потому, что оно было ознаменовано гениальными открытиями в области строения атома, а и потому, что человек нашёл полезное применение фантастически огромной энергии, источником которой стал неизмеримо малый атом. Ионизирующее излучение (атомная р ...

Меню сайта