Природные источники

В классификации углей используются три критерия: чистота (определяется отно­сительным содержанием углерода в процентах); тип (определяется составом исходного растительного вещества); сортность (зависит от степени метаморфизма).

Таблица 2Содержание углерода в некоторых видах топлива и их теплотворная способность

Топливо

Содержание углерода, %

Теплотворная способность, кДж/кг

Дрова

50,0

19 800

Торф

59,9

18 700

Лигнит

61,8

20 900-25 600

Бурый уголь

69,5

27 200

Каменный уголь

78,7

32 100

Антрацит

91,0

32 600

Самыми низкосортными видами ископаемых углей являются бурый уголь и лигнит (табл. 2). Они ближе всего к торфу и характеризуются сравнительно низким содержанием углерода и высоким содержанием влаги. Каменный уголь характеризуется меньшим содержанием влаги и широко используется в промышленности. Самый сухой и твердый сорт угля – это антрацит. Его используют для отопления жилищ и приготовления пищи.

В последнее время благодаря техническим достижениям становится все более экономичной газификация угля. Продукты газификации угля включают моноксид углерода, диоксид углерода, водород, метан и азот. Они используются в качестве газообразного горючего либо как сырье для получения различных химических продук­тов и удобрений.

Уголь, как это изложено ниже, служит важным источником сырья для получения ароматических соединений.

Рисунок 3 Вариант молекулярной модели низкосортного угля. Уголь представляет собой сложную смесь химических веществ, в состав которых входят углерод, водород и кислород, а также небольшие количества азота, серы и примеси других элементов. Кроме того, в состав угля в зависимости от его сорта входит различное количество влаги и различных минералов.

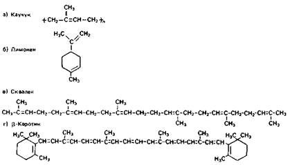
Рисунок 4 Углеводороды, встречающиеся в биологических системах.

Углеводороды встречаются в природе не только в горючих ископаемых, но также и в некоторых материалах биологического происхождения. Натуральный каучук является примером природного углеводородного полимера. Молекула каучука состоит из тысяч структурных единиц, представляющих собой метилбута-1,3-диен (изопрен); ее строение схематически показано на рис. 4. Метилбута- 1,3-диен имеет следующую структуру:

Натуральный каучук.

Приблизительно 90% натурального каучука, который добывается в настоящее время во всем мире, получают из бразильского каучуко­носного дерева Hevea brasiliensis, культивируемого главным образом в экваториаль­ных странах Азии. Сок этого дерева, представляющий собой латекс (коллоидный водный раствор полимера), собирают из надрезов, сделанных ножом на коре. Латекс содержит приблизительно 30% каучука. Его крохотные частички взвешены в воде. Сок сливают в алюминиевые емкости, куда добавляют кислоту, заставляющую каучук коагулировать.

Перейти на страницу: 1 2 3 4

Дополнительно

Исследование способов повышения эффективности работы гусеничного движителя
Магистерская диссертация выполнена на 78 страницах машинописного текста и включает 12 рисунков, 2 таблицы и список литературы из 27 наименований. Ключевые слова: эффективность, принцип работы, гусеничный движитель, ведущая звездочка, навесоспособность, плавность хода, почвосбережение, внутренне ...

Высокопроизводительная, экономичная и безопасная работа технологических агрегатов металлургической промышленности
Высокопроизводительная, экономичная и безопасная работа технологических агрегатов металлургической промышленности требует применения современных методов и средств измерения величин, характеризующих ход производственного процесса и состояние оборудования. Автоматический контроль является логически ...

Меню сайта