Мир прокариот архебактерии

Со времени открытия архебактерий в 1977 г. количество относящихся к ним организмов и объем знаний о последних возрастают стремительно. К архебактериям относят 5 групп прокариотных организмов. Две из них — метанобразующие бактерии и экстремальные галофилы — известны давно. Более 10 лет известны и представители двух других групп: термоацидофильные серные аэробные бактерии и микоплазмоподобная форма Thermoplasma acidophilum. Последняя группа, обнаруженная в начале 80-х гг., — анаэробные формы, метаболизм которых связан с молекулярной серой.

По сравнению с эубактериями число известных архебактерий мало, поэтому при описании мира прокариот во II разделе внимание было сосредоточено на эубактериях. Настоящий раздел посвящен общей характеристике (гл. 17) и отдельным группам (гл. 18) архебактерий.

Архебактерии: общая характеристика

Формы клеток архебактерий в целом сходны с таковыми эубактерий (см. рис. 3). Среди них есть кокки, палочки, извитые клетки и виды, характеризующиеся слабым ветвлением. Особенность архебактерий — отсутствие сложных многоклеточных форм, мицелиальных и трихомных, достаточно хорошо представленных у грамположительных и грамотрицательных эубактерий.

По тонкому строению клетки, выявляемому с помощью электронного микроскопа, архебактерии принципиально не отличаются от эубактерий и ближе к грамположительной их ветви. Прокариотная организация архебактерий проявляется в отсутствии у них ядра и характерных для эукариот органелл, окруженных мембраной. Хромосомная ДНК организована в виде нуклеоида, т. е. расположена непосредственно в цитоплазме и имеет вид электроннопрозрачной зоны, заполненной нитями ДНК.

От внешней среды клетки отделены клеточной стенкой (исключение составляет Thermoplasma acidophilum). У одних видов она выглядит как толстый гомогенный слой, у других — тонкий, структурированный. У некоторых нитчатых форм поверх клеточной стенки расположен чехол, объединяющий несколько клеток. Многие виды имеют жгутики и ворсинки эубактериального типа. В цитоплазме некоторых архебактерий обнаружены газовые вакуоли и запасное вещество гликоген, присущие многим эубактериям.

У архебактерий описаны разные способы размножения: равновеликое бинарное деление, почкование, фрагментация. Все они имеются и у эубактерий.

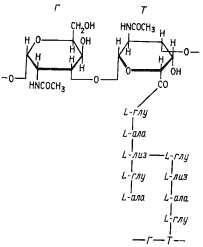
Хотя клетки архебактерий структурно относятся к прокариотному типу, многие макромолекулы, входящие в их состав (липиды, полисахариды, белки), уникальны и 'не 'найдены ни у эубактерий, ни у эукариот. Одно из существенных отличий архебактерий связано с химическим составом клеточных стенок, в которых не обнаружен характерный для эубактерий пептидогликан (см. рис. 6). В составе последнего в качестве обязательного компонента присутствует N-ацетилмурамовая кислота. Отсюда и часто употребляющееся его название муреин69. Вместо него у ряда архебактерий из группы метанобразующих найден другой пептидогликан, получивший название псевдомуреина (рис. 101). Его гликановый остов построен из N-ацетилглюкозамина и N-ацетилталозаминуроновой кислоты, а пептидные фрагменты — только из L-аминокислот. Последовательность аминокислот пептидного хвоста псевдомуреина отличается от таковой эубактериального .пептидогликана. Кроме того, аминосахара гликановой цепи псевдомуреина соединены не с помощью b-1,4-, а через (b-1,3-гликозидные связи. Отсутствие у архебактерий муреина привело к их устойчивости к пенициллину и некоторым другим антибиотикам, ингибирующим синтез пептидогликана эубактерий. Под электронным микроскопом клеточные стенки такого типа, окрашивающиеся положительно по Граму, выглядят как однородный слой толщиной 15 — 40 нм, ничем морфологически не отличающийся от клеточной стенки грамположительных эубактерий.

69 От лат. murus — стенка.

Рис. 101. Структура псевдомуреина архебактерий: Г — N-ацетилглюкозамин; Т — N-ацетилталозаминуроновая кислота; глу — глутаминовая кислота; ала — аланин; лиз — лизин

Перейти на страницу: 1 2 3 4 5 6

Дополнительно

Методы оценки близости допредельных и предельных распределений статистик
Рассматривается проблема оценки близости предельных распределений статистик и распределений, соответствующих конечным объемам выборок. При каких объемах выборок уже можно пользоваться предельными распределениями? Каков точный смысл термина "можно" в предыдущей фразе? Основное внимание уд ...

Современная судовая газотурбинная установка
Современная судовая газотурбинная установка (ГТУ) успешно конкурирует с аналогичными по назначению паротурбин­ными и дизельными. От последних она выгодно отличается ком­пактностью и малой удельной массой, маневренностью и высокой ремонтопригодностью, лучшей приспособленностью к автоматиза­ции ...

Меню сайта