Молекулярные основы преобразования и запасания энергии света при фотосинтезе

Живая природа настолько рационально решает проблемы эффективного улавливания солнечной энергии, ее преобразования и запасания в удобной для биологического потребления форме, что до сих пор не удается воспроизвести основные этапы фо­тосинтеза в искусственных системах. Первичное улавливание и преобразование энергии света при фотосинтезе происходит с непременным участием хлорофилла, что было выявлено уже в классических работах К.А. Тимирязева, показавшего, что именно та часть солнечного света, которая поглощается хлорофиллом, эффективно инициирует процесс фотосинтеза.

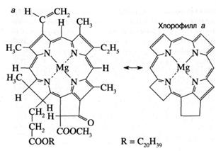
Как показано на рис. 3а, молекула хлорофилла состоит из порфиринового ядра, образованного тетрапиррольным кольцом с расположенным в цент­ре атомом магния, и фитольного хвоста. Хлорофилл относится к классу веществ, называемых пигмента­ми, то есть сильноокрашенных соединений, харак­теризующихся интенсивным поглощением види­мого света. Было установлено, что система "легко возбудимых" сопряженных связей порфиринового кольца обусловливает высокую способность хлоро­филла к поглощению света (рис. 36). Так, милли­метровый слой 1 мМ раствора хлорофилла погло­щает около 90% падающего на него красного или синего света (зеленый свет поглощается менее эф­фективно, что и определяет зеленый цвет расте­ний). Для хлорофилла, как и для других пигментов, характерно относительно длительное время, около 1(Г8 сек, нахождения в возбужденном состоянии, что важно для участия хлорофилла в фотохимичес­ких реакциях. У многих других пигментов, напри­мер, у производных хлорофилла, у которых цент­ральный атом магния заменен на медь или марганец, это время гораздо ниже вследствие чрезвычайно быстрого перехода энергии электронного возбуж­дения в тепло.

Для выяснения молекулярных основ участия хлорофилла в первичных процессах преобразова­ния солнечной энергии при фотосинтезе важней­шее значение имело открытие, сделанное нашим соотечественником, академиком А.А. Красновским, который показал, что при переходе в возбужденное состояние в результате поглощения кванта света молекула хлорофилла приобретает свойство всту­пать в такие окислительно-восстановительные (то есть идущие с переносом электронов) реакции, к которым она не была способна в темноте. При этом молекула хлорофилла (Хл) может потерять свой электрон, то есть окислиться, отдав его другому ве­ществу, называемому в данном случае акцептором (А) электрона, тогда как хлорофилл выступает в данной реакции как донор электрона. Эта реакция получила название реакции Красновского. Возбужденная молекула хлорофилла (Хл*) может также восстанавливаться, то есть принять "лишний" эле­ктрон, отобрав его у другого вещества, служащего в данном случае донором (Д) электрона. Если поми­мо Хл в системе присутствуют Д и А, то в результате сочетания процессов окисления Хл и его восстанов­ления свет, поглощаемый хлорофиллом, будет ин­дуцировать перенос электрона от Д к А с образова­нием Д+ (окисленного Д) и А- (восстановленного А). Хлорофилл при этом, несмотря на участие в двух ступенях переноса электрона, возвращается в исход­ное состояние готовности к новому фотохимическо­му циклу переноса электрона, согласно реакции

Перейти на страницу: 1 2 3 4 5

Дополнительно

Разработка сенсора на поверхностно-акустических волнах
В условиях современности проблема контроля за состоянием окружающей среды выходит на все более ведущее место. Контроль этот осуществляется как стационарными приборами, так и портативными. К стационарным приборам можно отнести инфракрасные спектрометры, газовые хроматографы, массовые спектрометры и ...

Оборудование для механического обезвоживанья и сушки текстильных материалов
Сушка является самым распространенным технологическим процессом красильно-отделочного производства. На многих от­делочных фабриках сушильное оборудование занимает прибли­зительно до 30 % производственных площадей, потребляет до 40 % всего расходуемого тепла и до 30 % электроэнергии. Одним из эффек ...

Меню сайта