Общие свойства керамических строительных материалов и изделий

К керамическим материалам предъявляются раз­личные требования соответственно тем воздействиям, ко­торые они испытывают при использовании их в строи­тельстве. В связи с этим необходимо знать основные свойства керамического материала и пути их регулиро­вания в процессе изготовления различных керамических изделий. https://valbergsafe.ru стеллажи в москве от 1630 руб купить недорого стеллаж. . https://the.hosting/sitemap.xml

Водопоглощениекерамических материалов характе­ризует количественную величину их пористости и соот­ветственно степень спекания, которая в свою очередь влияет на многие рабочие свойства изделий строитель­ной керамики: морозостойкость, паро- и воздухопрони­цаемость, сцепление с раствором, загрязняемость и др. Диапазон этого показателя для изделий строительной керамики в зависимости от их вида и назначения доволь­но велик—от 1—30%.

Предел прочности при сжатииRcж

керамических ма­териалов зависит от их состава и структуры и уменьша­ется с увеличением размера образца. Наиболее важное значение Rсж

имеет для изделий стеновой керамики, ко­торые воспринимают большие нагрузки в зданиях и со­оружениях. По этому показателю стеновые изделия маркируют, принимая за марку среднюю величину по результатам испытания пяти образцов.

Для изделий строительной керамики Rсж

находится в пределах 7,5—70 МПа.

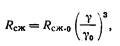
Между прочностью керамического материала Rcж и его объем­ной массой g прослеживается зависимость, имеющая вид кубической параболы:

а между прочностью пустотелых изделий R`сж

и их объемной массой (брутто) g` отмечается зависимость вида квадратичной параболы (рис. 66)

Предел прочности при сжатии пустотелых изделий определяют с учетом их «рабочего» положения в стене.

Общую разрушающую нагрузку делят на площадь брутто.

Предел прочности при изгибекерамических материа­лов Rиз зависит от тех же факторов, что и Rcж, с той лишь разницей, что здесь структура материала оказыва­ет более резкое влияние на его сопротивляемость изги­бу. Так, например, кирпич полусухого прессования имеет меньшую величину предела прочности при изгибе, чем кирпич пластического формования, изготовленный из тех же глин, хотя Rcж последнего ниже, чем у кир­пича полусухого формования.

Предел прочности при изгибе регламентируется ГОСТами для кирпича, поскольку в стене он испытывает не только сжимающие, но и изгибающие нагрузки, вслед­ствие неровностей своей поверхности. Этот показатель регламентируется и для некоторых других керамических изделий. По нему также судят об относительной прочно­сти испытуемого материала и используют его как кос­венный показатель для характеристики некоторых дру­гих свойств глинистого сырья и обожженных изделий (связность, связующая способность, термостойкость)

Для керамических материалов Rиз находится в пре­делах 0,7—5 МП а.

Морозостойкостью

называют способность материала в насыщенном водой состоянии выдерживать многократ­ное попеременное замораживание и оттаивание без приз­наков разрушения и без значительного понижения проч­ности. Показателем морозостойкости является количест­во теплосмен, которое выдерживает материал без признаков разрушения.

Обстоятельные исследования по влиянию грануло-метрии пор на морозостойкость керамических материа­лов выявили следующие положения:

все поры в керамическом материале (с точки зрения морозостойкости) могут быть разделены на три катего­рии: опасные, безопасные и резервные;

Перейти на страницу: 1 2 3

Дополнительно

Автоматизированное проектирование станочной оснастки
1.1. СТАНОЧНЫЕ ПРИСПОСОБЛЕНИЯ . КЛАССИФИКАЦИЯ , ВИДЫ . 1.1.1. Станочные приспособления . Основную группу технологической оснастки составляют приспособления механосборочного производства. Приспособлениями в машиностроении называют вспомогательные устройства к технологич ...

Численная модель эволюции плавающих на сферической мантии и взаимодействующих континентов
С развитием методов численного моделирования глобальных геодинамических процессов появилась возможность исследовать механизм дрейфа континентов с периодическим объединением их в суперконтиненты типа Пангеи. В предыдущих работах авторов разработан метод численного решения системы уравнений переноса ...

Меню сайта