Примеры априорного подхода.

Какого рода система поведения возникнет в процессе эволюции? В популяции, состоящей из одних голубей (средняя плата — + 15), любые вторгающиеся в нее мутанты-ястребы будут действовать весьма успешно: их плата при каждой встрече с голубем будет равна +50. Следовательно, стратегия голубя не может быть ЭСС. Ястребы распространятся и возьмут верх в популяции, однако при этом средняя плата от каждой встречи превратится в —25 и мутант-голубь окажется в весьма благоприятном положении, поскольку, хотя при каждой встрече с ястребом плата будет равна 0, это все же лучше, чем —25. Следовательно, стратегия ястреба тоже не является ЭСС.

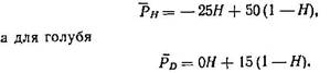
Интуитивно представляется, что стабильной должна быть смешанная стратегия. Пусть Я— доля ястребов в популяции, а 1 —Н — доля голубей. Средняя плата (Ря) для ястреба равна плате для встречи каждого типа, умноженной на

вероятность встретить каждого из противников:

Из этого уравнения можно найти Я, приняв Р0 = Рн (что соответствует ЭСС); отсюда Я=7/12, а 1—Я=5/12. Это стабильное состояние может быть достигнуто при условии, что: 1) каждая особь в данной популяции неизменно придерживается либо стратегии ястреба, либо стратегии голубя, а популяция состоит на 7/12 из ястребов и на 5/12 из голубей; 2) каждая особь выступает в роли как ястреба, так и голубя (смешанная стратегия) с вероятностью 7/12 в первой и с вероятностью 5/12 во второй роли при каждом конфликте.

Игра «ястреб—голубь» иллюстрирует применение теории ЭСС на примере простой и возможно нереалистичной ситуации. Так, по-видимому, лишь в редких случаях «поведенческие игры» состоят всего из двух резко различающихся тактик. Кроме того, приписывать определенное число очков отдельным исходам игры, хотя в принципе это и не сложно, крайне трудно на практике и нередко бывает связано с необходимостью создания сложных вспомогательных гипотез. Тем не менее теория ЭСС широко используется в экологии поведения и оказывает значительную помощь в изучении сложных «поведенческих игр» (23). Мы вернемся к ней в разд. 3.7.

Перейти на страницу: 1 2 3 

Дополнительно

Лазерная система для измерения статистических характеристик пространственных квазипериодических структур
В последние годы наблюдается интенсивное развитие аэрокосмической и ракетной техники, что в свою очередь ставит перед промышленностью задачу создания точных и надежных систем связи, ориентации и обнаружения подвижных объектов в пространстве. В большинстве случаев данные задачи решаются с прим ...

Оборудование для механического обезвоживанья и сушки текстильных материалов
Сушка является самым распространенным технологическим процессом красильно-отделочного производства. На многих от­делочных фабриках сушильное оборудование занимает прибли­зительно до 30 % производственных площадей, потребляет до 40 % всего расходуемого тепла и до 30 % электроэнергии. Одним из эффек ...

Меню сайта