Структура, химический состав и функции компонентов прокариотной клетки
Пептидогликан, окружающий протопласт грамположительных эубактерий, — это по существу одна гигантская молекула, "сшитая" с помощью гликозидных и пептидных связей. Именно последние обеспечивают ей трехмерную пространственную организацию.
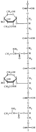
Кроме пептидогликана в состав клеточных стенок грамположительных эубактерий входит другой уникальный класс химических соединений — тейхоевые кислоты, представляющие собой полимеры, построенные на основе рибита (пятиатомного спирта) или глицерина (трехатомного спирта), остатки которых соединены между собой фосфодиэфирными связями (рис. 8). Некоторые свободные гидроксильные группы в молекулах спиртов могут быть замещены остатками D-аланина, глюкозы, N-ацетилглюкозамина и некоторых других сахаров. Тейхоевые кислоты ковалентно могут соединяться с N-ацетилмурамовой кислотой (см. рис. 6). Поскольку это длинные линейные молекулы, они могут пронизывать весь пептидогликановый слой, достигая внешней поверхности клеточной стенки. В этом случае, вероятно, они являются основными антигенами грамположительных эубактерий. Остающиеся свободные гидроксилы фосфорной кислоты придают тейхоевой кислоте свойства полианиона. Как полианионы тейхоевые кислоты определяют поверхностный заряд клетки. Сахарные компоненты тейхоевых кислот входят в состав рецепторов для некоторых бактериофагов и определяют возможность адсорбции фага на клеточной поверхности.
|
|
|
Рис. 8. Структурная формула глицеринтейхоевой кислоты. Содержит чередующиеся остатки D-аланина и N-ацетилглюкозамина (по Rose, 1971) |
В составе клеточной стенки грамположительных эубактерий в небольших количествах также найдены полисахариды, белки и липиды. Для полисахаридов и липидов показана возможность ковалентного связывания с макромолекулами клеточной стенки, в отличие от белков, которые (у тех видов, где имеются) формируют на ее внешней поверхности отдельный слой.
Таким образом, основными компонентами клеточной стенки грамположительных эубактерий являются три типа макромолекул: пептидогликаны, тейхоевые кислоты и полисахариды, которые с помощью ковалентных связей образуют сложную структуру с весьма упорядоченной пространственной организацией.
Клеточная стенка бацилл, например Bacillus subtilis, приблизительно соответствует толщине 40 молекул пептидогликана. В целом клеточную стенку грамположительных эубактерий можно представить в виде губчатой структуры с порами диаметром примерно 1—6 нм. Возможность прохождения молекул через такую клеточную стенку определяется ее зарядом и размером пор.
Клеточная стенка грамотрицательных эубактерий. У грамотрицательных эубактерий строение клеточной стенки намного сложнее, чем у грамположительных (см. рис. 5). В ее состав входит гораздо большее число макромолекул разного химического типа (см. табл. 3). Пептидогликан образует только внутренний слой клеточной стенки, неплотно прилегая к ЦПМ. Для разных видов грамотрицательных эубактерий содержание этого гетерополимера колеблется в широких пределах. У большинства видов он образует одно- или двухслойную структуру, характеризующуюся весьма редкими поперечными связями между гетерополимерными цепями (рис. 9).
Таблица 3. Химический состав клеточных стенок грамположительных и грамотрицательных эубактерий (по Rose, 1971; Freer, Salton, 1971)
|
Компоненты клеточной стенки |
Грамположительные эубактерии |
Грамотрицательные эубактерии | |
|
внутренний слой (пептидогликановый) |
внешний слой (наружная клеточная мембрана) | ||
|
Пептидогликан |
+ |
+ |
– |
|
Тейхоевые кислоты |
+ |
– |
– |
|
Полисахариды |
+ |
– |
+ |
|
Белки |
± |
– |
+ |
|
Липиды |
± |
– |
+ |
|
Липополисахариды |
– |
– |
+ |
|
Липопротеины |
– |
± |
+ |
Дополнительно
Эволюция биологических механизмов запасения энергии
В основу эволюционной концепции биоэнергетики положена гипотеза о
том, что на заре становления жизни адениновая часть АДФ и АДФ-со-держащих
коферментов использовалась в качестве антенны, улавливающей ультрафиолетовый
свет, который в те времена достигал поверхности океана. Поглощение
ультрафиолета ...
Достижения генной инженерии и биотехнологии
В
своей работе я раскрываю тему достижений генной инженерии и биотехнологии.
Возможности, открываемые генетической инженерией перед человечеством как в
области фундаментальной науки, так и во многих других областях, весьма велики
и нередко даже революционны. Так, она позволяет осуществлять инду ...