Об одном кулисно-рычажном механизме

(2.4)

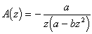
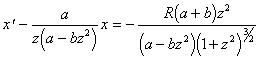
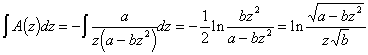
из (2.2), подставим в (2.4)

, отсюда следует

, и имеем

(2.5) из (2.3) следует, что или , - подставляем в (2.5)

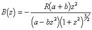
, что дает

(2.6) Подставим из (2.3) выражение для в (2.6)

или, откуда имеем

(2.7) Подставив (2.7) в (2.2), получим или

или

(2.8) Подставив из (2.8) выражение для в (2.7), получим

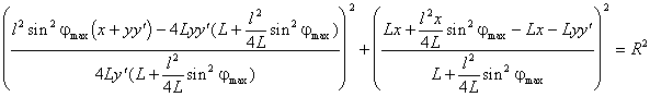
(2.9) Подставим (2.8) и (2.9) в (2.1), получим выражение:

,

в котором приведем к общему знаменателю выражения в скобках

и затем сократим выражения в скобках,

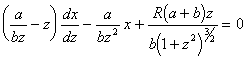
что приведет к окончательному виду дифференциального уравнения, определяющего форму направляющих

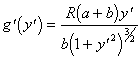
(2.10) Если обозначить и , то уравнение (2.10) можно переписать как

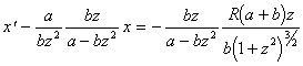
(2.11) Уравнение (2.11) преобразуем так, чтобы получить дифференциальное уравнение Лагранжа /1/.

(2.12) Как известно, дифференциальное уравнение Лагранжа

приводится к уравнению в виде ;

переписав последнее относительно в виде (2.13) и получаем линейное дифференциальное уравнение относительно.

Для уравнения (2.12) можно записать соотношения

, , , .

Обозначим и запишем уравнение (2.13) как линейное дифференциальное уравнение относительно.

(2.14) Обозначим и перепишем уравнение (2.14) как линейное дифференциальное уравнение первого порядка,

или, после упрощения (2.15) Как известно, линейное дифференциальное уравнение первого порядка

при интегральном множителе имеет общее решение.

Для уравнения (2.15) можно записать

, .

Из /2/ имеем:

,

отсюда.

Перейти на страницу: 1 2 3

Дополнительно

Развитие атомной энергетики в Украине
Наше время называю атомным не только и не столько потому, что оно было ознаменовано гениальными открытиями в области строения атома, а и потому, что человек нашёл полезное применение фантастически огромной энергии, источником которой стал неизмеримо малый атом. Ионизирующее излучение (атомная р ...

Численная модель эволюции плавающих на сферической мантии и взаимодействующих континентов
С развитием методов численного моделирования глобальных геодинамических процессов появилась возможность исследовать механизм дрейфа континентов с периодическим объединением их в суперконтиненты типа Пангеи. В предыдущих работах авторов разработан метод численного решения системы уравнений переноса ...

Меню сайта