Об одном кулисно-рычажном механизме

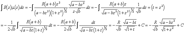
Общее решение можно теперь записать как.

Если рассматривать z как параметр, то подставив значение для x в уравнение (2.12), можно получить параметрическое решение уравнений (2.1), (2.2) и (2.3) в виде

,

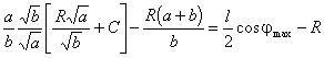
. (2.16) Чтобы определить неизвестную константу C, необходимо удовлетворить граничные условия. Очевидно, что условие

выполняется тождественно. Уравнение (2.16) для условия

примет вид:

,

откуда.

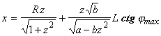
Окончательно имеем параметрическое задание в виде, , причем

,

, где и .

Оба варианта определения геометрических форм деталей предложенной конструкции кулисно-рычажного механизма были предварительно промоделированы в программе трехмерного проектирования AutoCAD версии 12. Изготовленные пробные экземпляры показали ожидаемый результат.

Данная конструкция обладает способностью сохранять форму передачи движения при любом изменении положения самой конструкции за счет постоянного касания кулачка с каждой направляющей в одной точке. При этом не требуется использования дополнительных деталей, например подшипников, что позволяет без проблем изготовить подобные кулисно-рычажные механизмы малых размеров. Это дало возможность использования описанного механизма, в частности, в серийном производстве датчиков для медицинских приборов, осуществляющих сканирование внутренних органов человека, на Арзамасском приборостроительном заводе. Возможно применение и в других областях приборостроения и промышленности.

Первый вариант более труден для изготовления (т.к. форма кулачка является сложной геометрической фигурой, для изготовления которой необходима специальная оснастка), поэтому наибольший практический интерес представляет второй вариант реализации (и поэтому изложенный более подробно), где направляющие являются фигурами вращения и могут быть легко изготовлены на станке с ЧПУ. Следует отметить, что для второго варианта необходимо просчитать в диапазоне (можно с небольшим запасом), т.к. только в этом интервале происходит касание.

На описанное устройство получено решение о выдаче патента Всероссийским Научно-исследовательским институтом Государственной Патентной Экспертизы (ВНИИГПЭ).

Перейти на страницу: 1 2 3 

Дополнительно

Развитие представлений о природе тепловых явлений и свойств макросистем
Вокруг нас происходят явления, внешне весьма косвенно связанные с механическим движением. Это явления, наблюдае­мые при изменении температуры тел, представляющих собой макросистемы, или при переходе их из одного состояния (например, жидкого) в другое (твердое либо газообразное). Та­кие явления наз ...

Порошковая металлургия и дальнейшая перспектива ее развития
Порошковой металлургией называют область техники, охватывающую совокупность методов изготовления порошков металлов и металлоподобных соединений, полуфабрикатов и изделий из них или их смесей с неметаллическими порошками без расплавления основного компонента. Из имеющихся разнообразных способов ...

Меню сайта