Билеты по химии 10 класс

H3AlO3 < H2SiO3 < H3PO4 < H2SO4 < НСlO4

Билет №23.

Общие способы получения металлов.

Металлы находятся в природе преимущественно в виде соеди­нений. Только металлы с малой химической активностью (благо­родные металлы) встречаются в природе в свободном состоянии (платиновые металлы, золото, медь, серебро, ртуть). Из кон­струкционных металлов в достаточном количестве имеются в природе в виде соединений лишь железо, алюминий, магний. Они образуют мощные залежи месторождений относительно бо­гатых руд. Это облегчает их добычу в больших масштабах.

Поскольку металлы в соединениях находятся в окисленном состоянии (имеют положительную степень окисления), то полу­чение их в свободном состоянии сводится к процессу восста­новления:

Этот процесс можно осуществить химическим или электро­химическим путем.

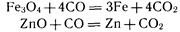
При химическом восстановлении в качестве восстановителя чаще всего применяют уголь или оксид углерода (II), а также водород, активные металлы, кремний. С помощью оксида углерода (II) получают железо (в доменном процессе), многие цвет­ные металлы (олово, свинец, цинк и др.):

Восстановление водородом используется, например, для по­лучения вольфрама из оксида вольфрама (VI):

Применение в качестве восстановителя водорода обеспечивает наибольшую чистоту получаемого металла. Водород используют для получения очень чистого железа, меди, никеля и других ме­таллов.

Способ получения металлов, в котором в качестве восста­новителя применяют металлы, называют металлотермическим

. В этом способе в качестве восстановителя используют активные металлы. Примеры металлотермических реакций:

алюминотермия:

магниетермия:

Металлотермические опыты получения металлов впервые осу­ществил русский ученый Н. Н. Бекетов в XIX в.

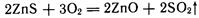
Металлы наиболее часто получают восстановлением их окси­дов, которые в свою очередь выделяют из соответствующей при­родной руды. Если исходной рудой являются сульфидные мине­ралы, то последние подвергают окислительному обжигу на­пример:

Электрохимическое получение металлов осуществляется при электролизе расплавов соответствующих соединений. Таким путем получают наиболее активные металлы, щелочные и ще­лочноземельные металлы, алюминий, магний.

Электрохимическое восстановление применяют также для ра­финирования

(очистки) «сырых» металлов (меди, никеля, цинка и др.), полученных другими способами. При электролитическом рафинировании в качестве анода используют «черновой» (с при­месями) металл, в качестве электролита — раствор соединений данного металла.

Способы получения металлов, осуществляемые при высоких температурах, называют пирометаллургическими

(по-гречески pyr — огонь). Многие из этих способов известны с древних времен. На рубеже XIX—XX вв. начинают развиваться гидро­металлургические

способы получения металлов (по-гречески hydor—вода). При этих способах компоненты руды переводят в водный раствор и далее выделяют металл электролитическим или химическим восстановлением. Так получают, например, медь. Медную руду, содержащую оксид меди (II) CuО, обрабатывают разбавленной серной кислотой:

Для восстановления меди полученный раствор сульфата меди (II) либо подвергают электролизу, либо действуют на раствор порошком железа.

Гидрометаллургический способ имеет большое будущее, так как позволяет получать продукт, не извлекая руду из земли. (Сравните достоинства гидрометаллургического способа получе­ния металлов с подземной газификацией угля.)

Перейти на страницу: 10 11 12 13 14 15 

Дополнительно

Расчет релаксационного генератора на ИОУ
Разработать и рассчитать релаксационный генератор на ИОУ (интегральной схеме операционного усилителя) в соответствии с данными, представленными: · вид генератора - мультивибратор · режим работы – автоколебательный · период следования импульсов Т, мс – 0.09 · ...

Проектирование технологии ремонта гидроцилиндров с использованием полимерных материалов
Одно из направлений повышения эффективности производства - его переоснащение современной техникой, внедрение передовых технологических процессов и достижений современной науки. В лесной промышленности и лесном хозяйстве таким направлением наряду с увеличением единичной мощности выпускаемой те ...

Меню сайта