Билеты по химии 10 класс

Билет №15.

Кислоты, их классификация и химические свойства на основе представлений об электролитической диссоциации. Особенности свойств концентрированной серной кислоты на примере взаимодействия с медью.

Кислота — сложное вещество, при диссоциации которого образуется только один тип катионов — ионы водорода.

Классификация кислот.

Соляная кислота — водный раствор газа хлоро-водорода в воде.

Химические свойства.

Кислоты изменяют цвет индикаторов: лакмус окрашивается в красный цвет, метилоранж — в желтый.

При реакции с основаниями образуется соль и вода (реакция нейтрализации). В реакцию вступают как растворимые, так и нерастворимые в воде основания:

При реакции с основными оксидамиобразуются со ли:

Кислоты реагируют с металлами,находящимися в ряду напряжений до водорода, при этом выделяется газо­образный водород и образуется соль:

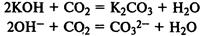
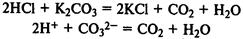
Сильные кислоты реагирует с солями слабых ки­слот,

вытесняя слабые кислоты из их солей:

Получение кислот.Многие кислоты можно полу­чить при реакции кислотных оксидов с водой:

Концентрированная серная кислота

при обычной температуре не действует на многие металлы. По этой причине, например, без­водная серная кислота в отличие от её растворов может сохра­няться в железной таре.

Но концентрированная серная кислота действует почти на все металлы при нагревании. При этом образуются соли серной кис­лоты, однако водород не выделяется, а получаются другие вещест­ва, например сернистый газ.

Так, при нагревании концентрированной серной кислоты с медью вначале серная кислота окисляет медь до окиси меди, а сама восстанавливается при этом до сернистой кислоты, которая тотчас же разлагается на сернистый газ и воду:

Образовавшаяся окись меди реагирует с избытком серной кис­лоты, образуя соль и воду:

Таким образом, окись меди является промежуточным вещест­вом в этой реакции. Сложив эти уравнения, мы получим ито­говое уравнение реакции, в которое входят только исходные и ко­нечные вещества:

Билет №16.

Основания, их классификация и химические свойства на основе представлений об электролитической диссоциации.

Основания — электролиты, при диссоциации ко­торых образуется только один вид анионов — гидроксид-ионы.

Классификация оснований

1. Растворимые в воде (щелочи)

— гидроксиды металлов главных подгрупп I и II групп.

2. Нерастворимые в воде

— гидроксиды остальных металлов.

Химические свойства

. Щелочи изменяют окраску индикаторов (лакмус становится синим, фенолфталеин – малиновым).

Взаимодействие с кислотами:

Взаимодействие с кислотными оксидами:

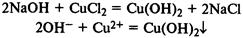
Растворы щелочей вступают в реакции ионного обмена с растворами солей, если образующийся при этом гидроксид нерастворим в воде:

При нагревании слабые основания разлагаются на оксиды металлов и воду:

Получение оснований.

Щелочи получают электро­лизом растворов солей.

Электролиз раствора хлорида натрия. Процессы на катоде и аноде:

Уравнение реакции:

Нерастворимые в воде основания получают реакци­ей обмена со щелочами:

Билет №17.

Перейти на страницу: 5 6 7 8 9 10 11 12 13 14 15

Дополнительно

Галактика как уровень мегамира
Актуальность, цели и задачи ответа по настоящей контрольной работе будут обусловлены следующими положениями. Нас интересует не только звездное население того дома, в котором мы живем. Нас интересует и архитектура этого дома и его размеры; интересует, как его обитатели расселены, где жилищная тесно ...

Высокопроизводительная, экономичная и безопасная работа технологических агрегатов металлургической промышленности
Высокопроизводительная, экономичная и безопасная работа технологических агрегатов металлургической промышленности требует применения современных методов и средств измерения величин, характеризующих ход производственного процесса и состояние оборудования. Автоматический контроль является логически ...

Меню сайта