Билеты по химии 10 класс

Химическая коррозия — окисление металла без воз­никновения гальванической пары. Газовая коррозия — при t > 600°С:

Коррозию, сопровождающуюся возникновением электрического тока за счет появления гальванической пары, называют электрохимической коррозией.

Электрохимическая коррозия – разрушение металла в электролите с возникновением гальванической пары.

– ионы выходят в раствор, электроны перемещаются к менее активному металлу, например к меди.

– разряжаются на менее активном ме­талле, например на меди.

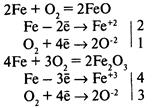
Одним из наиболее широко распространенных видов элек­трохимической коррозии является ржавление обычной стали в водной среде и на воздухе. На поверхности металлических изделий всегда имеется пленка влаги, адсорбированной из воз­духа. Она является электролитом, так как в ней растворены раз­личные газы (СО2, SO2 и др.). Зерна карбида железа Fe3С химически менее активны, чем железо. Поэтому возникают микрогальваническис элементы: зерна Fe3С играют роль катодов, а зерна чистого железа — роль анодов. Железо разрушается — оно ржавеет. Протекающие при этом процессы весьма сложные. Укажем лишь суммарное уравнение реакции:

Ржавчина имеет неопределенный состав

Для защиты от коррозии металлов

широко используют лако­красочные покрытия. Однако краски не вечны, изделия прихо­дится перекрашивать. На это затрачивается ручной труд, расхо­дуется много лакокрасочных материалов.

Из неметаллических покрытий для защиты стали и чугуна большое значение имеет эмаль. Эмаль — это силикатное стекло с добавками оксидов металлов. Ее наносят на поверхность ма­териала в виде порошка и обжигают при 500—1000 °С.

Покрытия из эмалей обладают стойкостью по отношению к щелочам и кислотам, длительно противостоят атмосферной кор­розии. Но эмаль легко разрушается при ударе. Благодаря тер­мостойкости, декоративному виду, легкости очистки эмаль широ­ко используется для покрытия изделий домашнего хозяйства и санитарной техники.

С целью защиты металлов от коррозии (и для декоративных целей) издавна используют металлические покрытия. Железо оцинковывают, лудят (покрывают оловом), покрывают никелем, хромируют и т. д.

Защитить металл от коррозии можно с помощью металла и другим способом. Например, если соединить железное изделие или сооружение проводником с куском более активного металла, например магния, то возникает гальванический элемент. При этом сооружение (железо) играет роль катода, а более активный металл выполняет роль анода. Анод разруша­ется, а катод — защищаемый металл — не изменяется. Такая защита называется протекторной.

Одним из способов борьбы с коррозией является использова­ние ингибиторов. Это химические соединения, ничтожные кон­центрации которых способны почти полностью предотвращать коррозию. В некоторых случаях применение ингибиторов позво­ляет изготовлять аппаратуру из обычной стали вместо нержа­веющей.

Одно из наиболее эффективных направлений борьбы с кор­розией металлов — создание коррозионно-стойких сплавов. В больших количествах выплавляют так называемые нержавею­щие стали. В их состав входят металлы (хром, никель), обра­зующие устойчивые защитные оксидные пленки.

Билет №20.

Окислительно-восстановительные реакции (разобрать на примерах взаимодействия алюминия с оксидом железа (III), азотной кислоты с медью).

К окислительно-восстановительным реакциям могут быть отнесены химические реак­ции следующих типов.

Реакции замещения (вытеснения)

Примером реакций этого типа может служить реакция между оксидом железа (III) и алюминием. В этой реакции алюминий вытесняет железо из раствора, причем сам алюминий окисляется, а железо восстанавливается.

Приведем еще два примера:

В этой реакции хлор вытесняет бром из раствора (хлор окисляется, бром восстанавливается), содержащего ионы брома.

Реакции металла с кислотами

Эти реакции, в сущности, тоже представляют собой реакции замещения. В качестве примера приведем реакцию между медью и азотной кислотой. Медь вытесняет водород из кислоты. При этом происходит окисление меди, которая превращается в гидратированный катион, а содержащиеся в растворе кислоты гидратированные протоны азота восстанавливаются, образуя оксид азота.

Перейти на страницу: 7 8 9 10 11 12 13 14 15

Дополнительно

Исследование способов повышения эффективности работы гусеничного движителя
Магистерская диссертация выполнена на 78 страницах машинописного текста и включает 12 рисунков, 2 таблицы и список литературы из 27 наименований. Ключевые слова: эффективность, принцип работы, гусеничный движитель, ведущая звездочка, навесоспособность, плавность хода, почвосбережение, внутренне ...

Проектирование технологии ремонта гидроцилиндров с использованием полимерных материалов
Одно из направлений повышения эффективности производства - его переоснащение современной техникой, внедрение передовых технологических процессов и достижений современной науки. В лесной промышленности и лесном хозяйстве таким направлением наряду с увеличением единичной мощности выпускаемой те ...

Меню сайта