Билеты по химии 10 класс

Средние соли, их состав, названия, химические свойства (взаимодействие с металлами, кислотами, щелочами, друг с другом с учетом особенностей реакций окисления-восстановления и ионного обмена).

Соли — электролиты, в растворах которых есть кати­оны металлов или ион аммония и анионы кислотных остатков.

Названия: название аниона + название катиона в ро­дительном падеже + степень окисления металла.

1.B водных растворах соли могут реаги­ровать со щелочами. Так, хлористый магний MgCl2 взаимодействует с едким натром, образуя новую соль и новое основание:

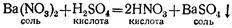
2. Соли могут реагировать с кислотами. Так, раствор азотнокислого бария Ва(гЮз)а взаимодействует с рас­твором серной кислоты, образуя новую кислоту и новую соль:

З.В водных растворах соли могут реаги­ровать между собой.

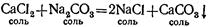
Если слить вместе водные растворы хлористого кальция CaCl2 я углекислого натрия Na2CO3 TO тотчас же образуется белый оса­док нерастворимого в воде углекислого кальция СаСО3, а в рас­творе — хлористый натрий:

4. В водных растворах солей металл, вхо­дящий в их состав, может замещаться дру­гим металлом, стоящим до него в ряду ак­тивности.

Если в раствор сернокислой меди опустить чистую железную проволоку или кусочек цинка, то на их поверхности выделяется медь, а в растворе образуется сернокислое железо (если было опущено железо) или сернокислый цинк (если был опущен цинк):

Но из сернокислого цинка нельзя вытеснить цинк медью: медь в ряду активности стоит после цинка.

Билет №18.

Гидролиз солей (разобрать первую стадию гидролиза солей, образованных сильным основанием и слабой кислотой, слабым основанием и сильной кислотой).

Взаимодействие ионов соли с водой, в результате которого образуются малодиссоциирующие соединения (ионы или молеку­лы), называют гидролизом соли

Четыре типа солей, которые по-разному взаимодей­ствуют с водой.

I. Соль образована сильным основанием и сильной кислотой.

NaCI + НОН — ни один из ионов соли с водой не вза-имодействет. Реакция среды нейтральная.

II. Соль образована сильным основанием и слабой кислотой.

- реакция среды щелоч­ная.

Гидролиз солей, образованных сильным основанием и слабой кислотой, заключается в присоединении анионами кислотного остатка ионов водорода и накоплении в растворе гидроксид-ионов, образующихся при диссоциации воды.

Теперь выясним, почему раствор хлорида алюминия приобрел кислую реакцию среды. В растворе АlСl3 диссоциирует на ионы:

Столкновение ионов Н+ и С– к образованию соединения не приводит. Из имеющихся в растворе ионов малодиссоциирующий продукт образуют ионы Аl3+ и ОН–. Связывание ионов ОН– в малодиссоциирующий ион АlOН2+ (К= 1,38 • 10–9) вызывает дальнейший распад молекул воды на ионы:

Таким образом, в растворе хлорида алюминия осуществляет­ся реакция, в результате которой появляется избыток ионов Н+, т. е. раствор приобретает кислую реакцию. Подобным образом ведут себя в растворах все соли, образованные слабым основа­нием и сильной кислотой.

III. Соль образована слабым основанием и сильной кислотой.

— реакция среды кислая.

Гидролиз соли, образованной слабым основанием и сильной кислотой, заключается в присоединении катионами металла гидроксид-ионов и накоплении в растворе ионов водорода, образую­щихся при диссоциации воды. Гидролиз хлорида алюминия можно выразить уравнением реакции:

IV. Соль образована слабым основанием и слабой кислотой.

Реакция среды зависит от сравнительной силы кисло­ты и основания. В некоторых случаях гидролиз идет до конца:

Билет №19.

Коррозия металлов (химическая и электрохимическая). Способы предупреждения коррозии.

Разрушение металлов и сплавов вследствие химического взаимодействия их с окружающей средой называются коррозией металлов.

Коррозию, вызванную непосредственным химическим взаимодействием между металлом и окружающей средой, называют химической коррозией.

Перейти на страницу: 6 7 8 9 10 11 12 13 14 15

Дополнительно

Внутренняя структура протона и новый способ получения энергии
Протон был открыт в начале 20-х г.г. в экспериментах с альфа-частицами. В опытах по рассеянию на протонах электронов и гамма-квантов были получены достоверные доказательства существования некой внутренней структуры у этой частицы. В 1970 г. в Стенфордском центре линейного ускорителя (СЛАК) удалось ...

Достижения генной инженерии и биотехнологии
В своей работе я раскрываю тему достижений генной инженерии и биотехнологии. Возможности, открываемые генетической инженерией перед че­ловечеством как в области фундаментальной науки, так и во мно­гих других областях, весьма велики и нередко даже революционны. Так, она позволяет осуществлять инду ...

Меню сайта