Функционально-физический анализ фотоаппарата «Зенит»

  1. Описание функции предназначения.

F = {D,G,H }

D - экспонирование ;

G - светочувствительный материал ;

H - с определенными условиями .

  1. Описание физической операции.

Q = {A, E, C}

А - свет ;

С - экспонированный светочувствительный материал ;

Е - сбор и накопление.

3.Разбиваем фотоаппарат на функциональные элементы.

Е1 – объектив;

Е2 – затвор;

Е3 – диафрагма;

Е4 – лентоперематывающий механизм;

Е5 – корпус;

Е6 – система фокусировки;

Е7 – система управления;

Е8 – экспозиционное устройство.

4.Выделяем объекты окружающей среды.

V1 – светочувствительный материал (фотопленка);

V2 – свет;

V3 – объект окружающей среды;

V4 – человек.

5.Описываем функции выделенных элементов.

П/н  

Наименование

ФЭ.

Обозначение

ФЭ.

Обозначение

функции

Описание функции  

1  

Объектив  

Е1  

F1  

Создает оптическое

изображение объекта на фотопленке.

2  

Затвор  

Е2  

F2  

Обеспечивает необхо-

димое время экспони-

рования.

3  

Диафрагма  

Е3  

F3  

Регулирует количество света.

4

Лентоперема-тывающий

механизм

Е4

F4

Перематывает фото-

пленку на нужную

позицию.

5

Корпус

Е5

F5

Защищает и объединяет

все элементы фотоап-парата.

6

Система фокусировки

Е6

F6

Фокусирует свет на фотопленку.

7

Система управления

Е7

F7

Управляет затвором и

диафрагмой.

8

Экспозицион-ное устройство

Е8

F8

Регулирует время проникновения света.

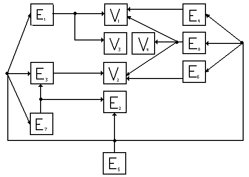
6.Строим конструктивную функциональную структуру, которая описывает функциональную взаимосвязь между элементами.

7.Выделяем основные и вспомогательные потоки.

Свет

Механическая энергия

Перейти на страницу: 1 2 3 4 5 6

Дополнительно

Высокопроизводительная, экономичная и безопасная работа технологических агрегатов металлургической промышленности
Высокопроизводительная, экономичная и безопасная работа технологических агрегатов металлургической промышленности требует применения современных методов и средств измерения величин, характеризующих ход производственного процесса и состояние оборудования. Автоматический контроль является логически ...

Спутниковая связь
Современные организации характеризуются большим объемом различной информации, в основном электронной и телекоммуникационной, которая проходит через них каждый день. Поэтому важно иметь высококачественный выход на коммутационные узлы, которые обеспечивают выход на все важные коммуникационные линии. ...

Меню сайта